股票代码:301095
联系55世纪
News Center
获取55世纪微最新资讯 了解行业最新动态

5分钟完成100万个晶体管I-V测试?Semitronix最新超高密度晶体管阵列(Dense Array)技术

发布日期 : 2018-04-04

Dense Array技术是Semitronix最新推出的最新超高密度测试芯片设计与芯片快速测试技术,该技术尤其适用于目前半导体多个工艺节点的研发与生产。Dense Array技术在Semitronix研发团队近两年的努力下,经历了缜密的研究及反复验证,不仅可以在单个测试芯片中容纳百万级待测器件,而且可以每秒内测试数万个待测器件,能够为半导体工艺的研发与生产提供整套的高效晶圆级芯片测试和成品率提升解决方案

 

undefined

 

技术瓶颈:

半导体工艺尺寸的缩小和摩尔定律的继续向前延伸,使芯片集成度在40年的时间内已经增加了一千万倍,但是芯片性能、功耗与价格作为其核心竞争力需要不断推陈出新的技术支撑而保持,因此工艺中的Silicon Success面临着成本与周期的巨大挑战。在面积利用率层面,需要不占用或者尽量少占用产品芯片面积,同时能够在如此苛刻的面积下容纳更多的晶体管;在半导体制程的推动下,即使满足了上述超高芯片面积利用率的要求,随之而来的测试问题却成为制约晶圆代工厂研发进程和生产效率的关键因素。因此,如何解决超高密度芯片的快速测试问题也已经成为业界迫切需要解决的难题。

 

技术指标:

Semitronix的Dense Array技术针对半导体工艺对面积利用率以及快速测试的行业痛点研发出了最新的解决方案。该技术不仅包含超高密度的测试芯片设计技术,而且对高密度产品芯片和测试芯片的快速测试提出了优异的测试方法与系统,其具体技术指标如下:

•  测试芯片中待测器件(DUT)数量超百万,并能够对百万级DUT进行快速测试

•  DUT平均密度为10~25um2,10mm2测试芯片中可容纳106级的DUT数量

•  支持标准单元库、SRAMPcell类型的DUT

•  百万个DUT单点测试仅需30s,测试速度最快可达40000 DUT/s

•  测试精度可达到10nA

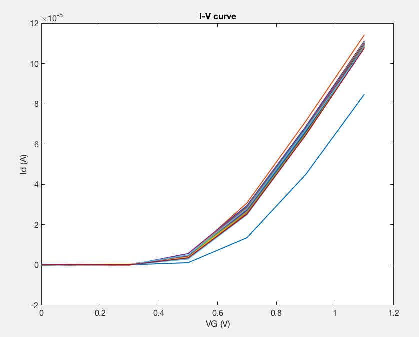
•  测试项包含IdsatVtsatI-V curve数据

•  支持连续测试与选择测试两种测试模式

•  仅需两层金属即可测试

• 能够发现所有open/short 缺陷以及IdsatVtsatIoff异常点。

 

 

1532676645.png

 

1532678646.png

 

成果价值:

Dense Array技术的成功研发,不仅在技术上解决了制约半导体先进工艺开发的面积和测试速度问题,同时也真正实现了测试速度与精度兼得效率与质量共存。Dense Array技术能够提供系统化的解决方案,满足多个工艺研发与生产企业的需求,缩短工艺线成熟周期、节约制造成本,使产品顺利上市抢占市场、提高产品竞争优势。对于Semitronix而言,Dense Array技术实现了Semitronix在芯片良品率与性能提升方向上的重大突破,是Semitronix的技术与解决方案的一次质的飞跃,Semitronix打造了更完善的软硬件生态系统,助力半导体工艺的研发与管控。

试用
下载